Páginas

Magalu

quinta-feira, 30 de novembro de 2023

Piso salarial enfermagem: pagamento de novembro é repassado pelo Ministério da Saúde

Ministério da Saúde divulga Portaria com repasses do piso salarial da enfermagem de novembro
O Ministério da Saúde divulgou na última terça-feira, 28 de novembro, a Portaria GM/MS nº 2.015, que aborda a transferência de recursos destinados ao pagamento do piso salarial da enfermagem.

Essa quantia representa um apoio adicional que o Ministério encaminhou aos estados e municípios para assegurar o pagamento do piso salarial da enfermagem neste mês de novembro.

Confira quanto cada município recebeu
Os valores de apoio ao piso salarial da enfermagem destinados a cada município estão especificados nos anexos I e II da portaria.

TCE/MA emite novo alerta sobre limites de gastos com pessoal. Confira a lista de municípios maranhenses

O Tribunal de Contas do Estado (TCE-MA), por meio de sua Secretaria de Fiscalização (Sefis) emitiu alerta aos entes públicos que apresentaram gastos com pessoal acima do limite permitido pela Lei de Responsabilidade Fiscal (LRF) no 2º quadrimestre e 1º semestre do ano em curso.

O alerta leva em conta as análises efetuadas sobre os dados relativos aos Relatórios de Gestão Fiscal declarados ao sistema Finger/Siconfi (Sistema de Informações Contábeis e Fiscais do Setor Público Brasileiro) e observado o disposto na Instrução Normativa nº 60/2020, considerando a competência atribuída ao TCE para alertar os Poderes ou Órgãos sempre que identificar situações desfavoráveis ou irregulares relacionadas à gestão fiscal.

A intenção é levar o ente/Poder a adotar as medidas determinadas na legislação para correção das distorções, evitando a aplicação das sanções administrativas e/ou penais previstas, conforme determinam os seguintes dispositivos: art. 73 da LRF, § 1º do art. 5º da Lei Federal nº 10.028/2000 e os arts. 11 e 12 da Instrução Normativa TCE/MA nº 60/2020.










IVOX PODCAST recebe hoje, D’Wesley, Enxadrista de Araioses, bicampeão estadual em sua modalidade

Todas as quintas-feiras, sempre um papo inteligente e descontraído com personalidades de diferentes áreas e segmentos da região.
No episódio desta quinta-feira, 30 de novembro, receberemos D’Wesley, Enxadrista de Araioses, bicampeão estadual e terceiro lugar no Nordeste, nos jogos dos Institutos Federais do Brasil.

Será uma excelente oportunidade para conhecermos um pouco da história do nosso convidado, sua trajetória de vida e experiência em sua área de atuação.

No IVOX PODCAST, você pode fazer perguntas por meio do chat ao vivo e ainda participa de sorteios todas as quintas.

Não perca, será às 20 horas ao vivo pelo YouTube, no canal IVOX PODCAST, neste link: https://www.youtube.com/watch?v=X5KADjVfPAE

Siga Antenado abre agendamentos de instalação do kit gratuito com a nova parabólica digital para 12,8 mil famílias de quatro cidades do Maranhão

Podem receber equipamento e instalação gratuitos famílias de menor renda inscritas em programas sociais do Governo Federal e que têm parabólica tradicional instalada e funcionando.
Famílias de menor renda de mais quatro cidades do Maranhão já podem fazer o agendamento para receber o kit com a nova parabólica digital. O serviço é gratuito para pessoas inscritas em algum programa do Governo Federal (CadÚnico) e que têm a parabólica tradicional funcionado em casa. O trabalho é realizado pela Siga Antenado, entidade responsável por apoiar a população durante a migração do sinal de TV utilizado pelas parabólicas tradicionais (Banda C) para o sinal das parabólicas digitais (Banda Ku). Cerca de 12,8 mil famílias devem ser beneficiadas.

No mês passado, oito outras cidades do Maranhão tiveram o agendamento liberado dentro da terceira fase do programa, que engloba 1.103 municípios de todo o país. Desta vez, entraram na lista: Bacurituba, Barreirinhas, Cajapió e João Lisboa.

A substituição é necessária porque, em breve, as parabólicas tradicionais deixarão de funcionar. Isso significa que, quem não fizer a substituição pela nova parabólica digital, não conseguirá mais assistir à TV. O modelo tradicional também corre o risco de interferência no sinal da TV quando a tecnologia 5G for ativada em sua cidade ou região. Como o sinal do 5G é transmitido na mesma frequência da parabólica tradicional, poderão ocorrer chuviscos, chiados, a imagem pode travar e até ser interrompida.

Em Barreirinhas e João Lisboa, 7,2 mil e 3,2 mil famílias, respectivamente, podem ter direito à instalação do kit gratuito. Na sequência, estão Cajapió (1,5 mil) e Bacurituba (834). O CEO da Siga Antenado, Leandro Guerra, destaca os benefícios da nova antena. “A nova parabólica digital oferece melhor qualidade de imagem e de som, programação regional e vai continuar sendo gratuita, como sempre foi”, afirma. “É muito importante que as pessoas procurem nossos canais de atendimento o quanto antes para saber se têm direito ao kit gratuito”. Para saber se tem direito ao kit gratuito, o beneficiário deve entrar em contato pelo número 0800 729 2404 ou pelo site sigaantenado.com.br, com o número do CPF ou do NIS em mãos.

Outras 22 cidades do Maranhão continuam com o agendamento para instalação do kit gratuito liberado. A previsão é de que 70,3 mil famílias podem ter direito à instalação gratuito na capital e nas cidades de Alcântara, Axixá, Bacabeira, Cachoeira Grande, Cidelândia, Davinópolis, Governador Edison Lobão, Icatu, Imperatriz, Morros, Paço do Lumiar, Presidente Juscelino, Raposa, Rosário, Santa Rita, São Francisco do Brejão, São José de Ribamar, São Pedro da Água Branca, Senador La Rocque, Timon e Vila Nova dos Martírios.

SIGA ANTENADO
A Siga Antenado é uma instituição não governamental criada por determinação da Anatel. Sem fins lucrativos, a entidade é a responsável por apoiar a população de menor renda durante a migração do sinal de TV utilizado pelas parabólicas tradicionais (Banda C) para o sinal das parabólicas digitais (Banda Ku).

MPMA requer suspensão de show de Léo Santana de R$ 450 mil em Coelho Neto

O Ministério Público do Maranhão solicitou liminarmente a suspensão do show do cantor Léo Santana na cidade de Coelho Neto. O espetáculo está previsto para o dia 28 de dezembro e o contrato foi firmado por inexigibilidade de licitação no valor de R$ 450 mil.
Na Ação Civil Pública (ACP), o promotor de justiça Williams Silva de Paiva requereu ao Poder Judiciário que determine ao Município de Coelho Neto a imediata suspensão do espetáculo musical e que o Executivo se abstenha de efetuar quaisquer pagamentos ao artista, sob pena de multa diária de R$ 10 mil a ser cobrada pessoalmente do prefeito Bruno José Almeida e Silva.

Gastos acessórios como montagem do palco principal, iluminação, som, recepção, alimentação, hospedagem, abastecimento de veículos de artistas ou pessoal de apoio, dentre outros, estão entre as despesas cujo pagamento o MPMA também solicitou que não seja efetuado com o dinheiro público.

Também foi pedido à Justiça que obrigue a administração municipal a divulgar, no site da Prefeitura de Coelho Neto, no prazo de 24 horas, aviso de cancelamento do show e ao final da ação condene a empresa Salvador Produções Artísticas e Entretenimento LTDA, responsável pelo contrato do cantor, a devolver aos cofres públicos o valor de R$ 210 mil já recebidos antecipadamente.

Ao tomar conhecimento do contrato, o promotor de justiça se reuniu com o prefeito e com a Procuradoria Municipal e foi informado que o cancelamento não seria possível devido uma cláusula contratual estabelecendo que os valores pagos não seriam devolvidos ao contratante. Na avaliação da Promotoria de Justiça, o argumento é inválido pois uma cláusula penal abusiva é nula de pleno direito e passível de controle judicial.

“MÍNIMO ESSENCIAL”
Williams Silva de Paiva destacou, na ACP, a situação de precariedade na prestação de serviços essenciais por parte da gestão municipal. Tramitam na Promotoria de Justiça diversos procedimentos administrativos bem como já foram ajuizadas ações judiciais referentes à adoção de políticas públicas por parte do Executivo municipal.

Por exemplo, a Promotoria de Justiça instaurou investigação que apura irregularidades e precariedade no transporte escolar, recebeu reclamação sobre a falta de infraestrutura na Escola Municipal Justino Silva Barros, recebeu denúncia sobre a falta de medicamentos no Centro de Atenção Psicossocial. O promotor de justiça destacou também a ausência de saneamento básico e pavimentação na cidade.

“Esse quadro nos leva à conclusão de que o que está em jogo, na realidade, é a proteção do chamado ‘mínimo essencial’, assim compreendido como o núcleo essencial de direitos a permitirem uma existência minimamente digna por parte dos cidadãos”, argumentou, na ACP, Williams de Paiva.

Outro ponto levantado pelo MPMA é relativo à segurança pública. A Delegacia não funciona entre 18h e 8h e, em caso de prisões durante o evento, a Polícia Militar teria que conduzir os custodiados até a Delegacia Regional de Caxias, distante 116 km de Coelho Neto.

RAZOABILIDADE

O representante do MPMA questionou a contratação de um show no valor de R$ 450 mil diante do risco de estrangulamento das contas públicas e de lesão à ordem econômica governamental; violação do princípio da razoabilidade, pelo gasto de verbas públicas em um momento que devem ser priorizados os direitos sociais.

“Há que se destacar que o Ministério Público não tem nada contra a realização de evento festivo, sendo uma manifestação de um direito fundamental ao lazer garantido na Constituição Federal de 1988. Entretanto, a realização do referido evento afronta os princípios da legalidade, moralidade, eficiência, proporcionalidade e razoabilidade que orientam a administração público”, afirmou Williams de Paiva.

John Cutrim

quinta-feira, 23 de novembro de 2023

Pela segunda semana, professores voltam a ocupar o saguão da prefeitura para cobrar o reajuste de 14,95%

Os professores da Rede Municipal de Ensino de Araioses, voltaram a ocupar o saguão da prefeitura, em protesto pelo não pagamento do reajuste de 14,95%, concedido pelo Governo Federal em janeiro do corrente ano, mas que até o momento a prefeita não efetivou pagamento, mesmo com decisão judicial reconhecendo o direito dos professores e determinando o imediato pagamento.
“Estamos mais uma vez e continuaremos a vir todas as semanas, até que a prefeita pague o que nos é de direito”, afirmou Eliza Machado, presidente do SINDSEPMA – Sindicato dos Servidores Públicos Municipais de Araioses.

O piso salarial dos professores é pago com recursos do Fundo de Manutenção e Desenvolvimento da Educação Básica e de Valorização dos Profissionais da Educação (Fundeb) repassados pela União, além da arrecadação de impostos.

A lei 11.738, de 2008, determina que o piso salarial dos professores seja reajustado anualmente, no mês de janeiro. Os critérios para fixar o percentual remetem à lei do antigo Fundeb, de 2007.

IVOX PODCAST recebe hoje, PC Moral, cantor e compositor araiosense

Todas as quintas-feiras, sempre um papo inteligente e descontraído com personalidades de diferentes áreas e segmentos da região.

No episódio desta quinta-feira, 23 de novembro, receberemos PC Moral, o vaqueiro bom de forró. O artista araiosense é cantor e compositor e falará sobre os seus novos projetos.

Será uma excelente oportunidade para conhecermos um pouco da história do nosso convidado, sua trajetória de vida e experiência em sua área de atuação.

No IVOX PODCAST, você pode fazer perguntas por meio do chat ao vivo e ainda participa de sorteios todas as quintas.

Não perca, será às 20 horas ao vivo pelo YouTube, no canal IVOX PODCAST, neste link: https://www.youtube.com/watch?v=lfjJsidlplM

MPF pede a condenação de ex-prefeito do MA por prejuízos de mais de R$ 260 mil aos cofres públicos

O Ministério Público Federal (MPF) entrou com ação civil na Justiça Federal contra o ex-prefeito de São Benedito do Rio Preto (MA), José Maurício Carneiro Fernandes, por suspeita de desvio de recursos federais no valor de R$ 261,7 mil, transferidos ao município em dezembro de 2020, para auxiliar no combate à pandemia da covid-19. Além dele, também foram acusados uma ex-tesoureira da Prefeitura e mais quatro empresários, que teriam assinando contratos fictícios com o município e fornecido notas fiscais de materiais que não foram efetivamente entregues.

A ação pede que todos sejam condenados por improbidade administrativa, conforme a Lei nº 8.429/92, percam os bens ou valores que foram incorporados ilicitamente ao seu patrimônio e, se for o caso, percam as funções públicas que estiverem ocupando. Além disso, que tenham os direitos políticos suspensos, sejam proibidos de contratar com o poder público e receber benefícios ou incentivos fiscais e paguem multa pelo desvio apontado na ação.

A Prefeitura de São Benedito do Rio Preto recebeu R$ 261.788,00 do Ministério da Saúde, por meio da adesão a programas de incentivo financeiro de estruturação da Atenção Primária de Saúde (APS), habilitados em 10 e 11 de dezembro de 2020, final do segundo mandato de José Maurício Fernandes, que comandou a executivo municipal entre 2013 e 2020.

Do total repassado, R$ 17.375,00 seriam utilizados na aquisição de equipamentos de assistência odontológica (Programa Estratégico Saúde em Família/Componente Saúde Bucal) e R$ 244.413,00 para a informatização das Unidades Básicas de Saúde (UBS) e a implantação de Prontuário Eletrônico do Cidadão (PEC). Os valores foram transferidos do Fundo Nacional de Saúde (FNS) para o Fundo Municipal de Saúde (FMS) de São Benedito do Rio Preto em conta-corrente específica para esse fim.

Ocorre que uma semana depois do repasse, quando a nova gestão tomou posse, não foram encontrados os documentos referentes às contratações de equipamentos de informática e odontológicos e os recursos depositados pelo Ministério da Saúde não estavam mais na referida conta-corrente, ela estaria “zerada”.

Investigação – Durante a apuração do MPF, a Secretaria de Atenção Primária à Saúde do Ministério da Saúde informou que os gestores do município de São Benedito do Rio Preto deixaram de inserir, desde 2016, nos portais do Ministério, informações do Relatório Anual de Gestão para análise e aprovação do Conselho Municipal de Saúde. O Conselho afirmou que não foi possível identificar documentos que comprovassem a prestação de contas de recursos financeiros relativos à aquisição de equipamentos odontológicos e informatização das unidades de saúde.

A Controladoria-Geral da União (CGU) no Maranhão analisou os processos e confirmou que a Prefeitura, apesar de não ter publicado os procedimentos licitatórios e os respectivos contratos administrativos, inseriu os empenhos e os pagamentos. Os recursos foram destinados às empresas JRS Comércio e Serviços Ltda (R$ 141.651,54), Francinaldo Fonseca Eireli (R$ 75.510,00), Miron C. Bastos (R$ 41.607,00) e R de Abreu Silva Comércio (R$ 17.910,00).

A CGU verificou, ainda, que o então prefeito assinou as notas de empenho e as ordens de pagamento e a ex-tesoureira assinou as ordens de pagamento e atestou o recebimento dos equipamentos. José Maurício Carneiro Fernandes foi oficiado em mais de uma oportunidade pelo MPF e nunca se manifestou. Já a ex-tesoureira, confirmou que as assinaturas nos documentos são suas e que recebeu dos equipamentos, entretanto, sua versão diverge das demais provas dos autos.

De acordo com o procurador da República Juraci Guimarães Júnior, autor da ação, “o MPF identificou uma série de suspeitas e irregularidades na utilização dos recursos federais que apontam para o seu desvio por meio da montagem de procedimentos licitatórios. As investigações indicam que as empresas contratadas não possuem capacidade operacional para tal fim, o que sugere a utilização de falsidade ideológica nas notas fiscais, popularmente chamada de venda de notas fiscais”, afirmou.

A investigação do MPF comprovou a ausência de documentação sobre as contratações na Prefeitura e no Conselho Municipal de Saúde, empenho de valores antes da transferência dos recursos pelo FNS e contratos administrativos firmados muito antes da transferência dos valores e sem identificação específica do objeto. Os contratos e licitações também não foram devidamente publicados. Além disso, as empresas não comercializam o objeto contratado em seus endereços e teriam fornecido mercadorias que não adquiriram anteriormente, bem como equipamentos com especificações distintas das notas fiscais, entre outras irregularidades.

terça-feira, 21 de novembro de 2023

Maranhão terá mais de R$ 475 milhões para a educação com acordo sobre Fundef

- Governador Brandão esteve em Brasília para pleitear o repasse dos recursos do Fundef (Foto: Rodrigo Ribeiro)
Com o diálogo entre o Governo Federal e o Governo do Maranhão, um impasse de mais de 20 anos relativo a recursos do Fundo de Manutenção e Desenvolvimento do Ensino Fundamental e de Valorização do Magistério (Fundef) foi encerrado na segunda-feira (20). Com o acordo entre as partes, o Maranhão vai receber mais de R$ 475 milhões para obras e ações na educação pública.

“Esse é um momento histórico para a educação do Maranhão, firmamos um acordo para receber os recursos do Fundef e vamos melhorar a educação no nosso estado com a construção de mais escolas em parceria com o Governo Lula”, disse o governador Carlos Brandão. Ele reiterou que o recurso vai chegar em 2025 e ajudar a promover um dos melhores momentos para a educação na história do estado.

O acordo foi celebrado durante reunião em Brasília que contou com a participação do ministro de Estado da Advocacia-Geral da União, Jorge Messias; do secretário especial de Assuntos Federativos da Secretaria de Relações Institucionais da Presidência da República, Margonary Marcos Vieira, representando o ministro Alexandre Padilha, titular da pasta; do ministro da Educação, Camilo Santana; além do governador do Maranhão, Carlos Brandão; e do procurador-geral do Estado, Rodrigo Maia.

“Com a orientação do presidente Lula, nós encontramos um entendimento e encerramos esse litígio que tramitava no Supremo Tribunal Federal há mais de 20 anos. Este acordo permitirá que a União pague mais de R$ 475 milhões para o Estado do Maranhão”, explicou ministro de Estado da Advocacia-Geral da União, Jorge Messias. Segundo ele, a aplicação do recurso vai fortalecer as ações do governo estadual e do governo federal no Maranhão.

O esforço para o entendimento e celebração do acordo foi comentado pelo ministro da Educação, Camilo Santana, que destacou a disposição dos gestores maranhenses em dialogarem com o Governo Federal.

“Aproveito para parabenizar o ministro Messias em liderar esse processo sob a orientação do presidente Lula e aqui temos a demonstração de que é possível construir soluções rápidas através do diálogo. Isso mostra a retomada do Pacto Federativo com a construção de diálogo e consenso”, frisou Camilo Santana.

O ministro da Educação também ressaltou as ações que já estão em curso no Maranhão a partir das parcerias entre Governo Federal e Governo do Estado, incluindo a retomada de obras da educação a partir de convênios federais, investimentos em alfabetização das crianças, repactuação de dívidas do Fies com desconto de até 99%, dentre outras ações.

A disposição dos gestores públicos para buscar consenso também foi destacada pelo procurador-geral do Estado do Maranhão, Rodrigo Maia. “Sob a liderança do presidente Lula e do governador Carlos Brandão temos uma cooperação efetiva entre o Governo do Estado e o Governo Federal”, observou.

De acordo com Rodrigo Maia, a decisão trará dividendos importantes para a sociedade maranhense, na medida que esses recursos serão aplicados integralmente na educação e certamente melhorarão a qualidade de vida de milhões de estudantes.

Segunda edição do Dia do Evangélico de Araioses, foi um sucesso. Parabéns a todos

imagem - David Souza
Por Marcio Maranhão
De autoria do vereador prof. Arnaldo, que além de produzir e apresentar o projeto, aprovado por unanimidade pela câmara de vereadores, para homenagear todo o seguimento evangélico de Araioses, ainda garantiu no orçamento anual do município, o valor de R$ 300.000,00 (trezentos mil reais), para os gestores do Poder Executivo Municipal realizarem a festa.

A exemplo do ano passado, quando o evento foi realizado na data de 25 de novembro e reuniu uma multidão na Arena de Shows da Praça do Viva, este ano, o evento aconteceu nessa segunda-feira, 20 de novembro, feriado do Dia da Consciência Negra. E, fiéis de várias denominações e dos quatro cantos do município, voltaram a lotar o Viva, para comemorarem a data especial.

Com uma programação que se estendeu por todo o dia, iniciando logo pela manhã, com uma carreata passando pelas principais ruas da sede, em frente alguns templos, convidando todos a participarem da festa.
imagem – David Souza
O evento encerrou a noite, com várias apresentações musicais e outras manifestações artísticas, como o Ministério de Dança Kairós e shows com a Banda Marca da Paz, o cantor Israel Vieira, Tellis Woatlas, Fernanda Nascimento e a dupla Jefferson e Suellen.

O Dia do Evangélico é celebrado em diferentes datas pelo país, mas o dia 30 de novembro foi oficializado como data central para a igreja no Brasil. Instituído pela Lei n.º 12.328, de 15 de setembro de 2010, na primeira gestão do Governo Lula. A data homenageia todos os seguidores dessa doutrina cristã, que já representa um terço da população brasileira.

quinta-feira, 16 de novembro de 2023

IVOX PODCAST recebe hoje, Ivanildo Ribeiro, empresário e professor da Rede Pública Municipal de Araioses

Todas as quintas-feiras, sempre um papo inteligente e descontraído com personalidades de diferentes áreas e segmentos da região.
No episódio desta quinta-feira, 16 de novembro, receberemos Ivanildo Ribeiro, araiosense empreendedor e também servidor público, atuando como professor na rede de ensino municipal.

Será uma excelente oportunidade para conhecermos um pouco da história do nosso convidado, sua trajetória de vida e experiência em suas áreas de atuação.

No IVOX PODCAST, você pode fazer perguntas por meio do chat ao vivo e ainda participa de sorteios todas as quintas.

Não perca, será às 20 horas ao vivo pelo YouTube, no canal IVOX PODCAST, neste link: https://www.youtube.com/watch?v=Xdfm5e6mWn4

Professores de Araioses, voltam a protestar pelo reajuste negado pelo governo municipal

Às vésperas de um novo reajuste, concedido a todos os professores no mês de dezembro para a devida execução em janeiro do ano seguinte, os professores da Rede Pública Municipal de Araioses, continuam reivindicando o pagamento que deveria ter sido pago, desde o início do ano.

Passados mais de 11 meses, muitas reuniões, audiências e sentenças judiciais, na esfera estatual e federal, a prefeita Luciana Trinta, insiste em não pagar o direito dos professores.

Após mais uma derrota judicial, que determina o imediato pagamento do piso aos professores, com juros e correção monetária retroativo ao mês de janeiro, a prefeita ignorou a sentença publicada no final de setembro do corrente ano, e segue descumprindo a lei e a determinação judicial até o fechamento desta matéria.

O que obrigou parte dos professores e o SINDSEPMA – Sindicato dos Servidores Públicos Municipais de Araioses, acamparem em frente à entrada principal da prefeitura durante todo o dia da última terça-feira, 14 de novembro, em protesto pelo reajuste de 14,95%, e em repúdio à prefeita e a secretária de educação.
Segundo a presidente da entidade, Eliza Machado, esse foi apenas o primeiro ato, de muitos que acontecerão nas próximas semanas, até que a prefeita pague o que é de direito de todos os professores da rede pública municipal de Araioses.

Para o vereador prof. Arnaldo, depois de todas as derrotas em todas as esferas judiciais, não resta mais nada que justifique o não pagamento do direito dos professores, se não o sentimento de maldade, ao prejudicar a educação do município e ingratidão, ao esquecer, qual foi a classe que mais lhe ajudou, quando ela precisou no processo eleitoral de 2020.

“Não valorizar o professor é não dar valor a educação. Educação não se faz com prédios pintados, se faz com professores motivados e valorizados. Foi por essa razão, que em 2020, muitos atenderam um pedido da atual gestora, para lhe dar uma oportunidade de transformar a educação. Só não se esperava que fosse esse tipo de transformação”, pontuou Arnaldo.

O piso salarial dos professores é pago com recursos do Fundo de Manutenção e Desenvolvimento da Educação Básica e de Valorização dos Profissionais da Educação (Fundeb) repassados pela União, além da arrecadação de impostos.

A lei 11.738, de 2008, determina que o piso salarial dos professores seja reajustado anualmente, no mês de janeiro. Os critérios para fixar o percentual remetem à lei do antigo Fundeb, de 2007.

O cálculo é com base no Valor Anual Mínimo por Aluno, montante definido pelo MEC que deve ser gasto por estudante dos anos iniciais do ensino fundamental. Esse valor por aluno é fixado seguindo o que consta no antigo Fundeb, critérios da lei não revogados pela atual legislação que trata do assunto.

terça-feira, 14 de novembro de 2023

Perseguição, destruição de reputações e até morte. Os prejuízos causados pelo voto não consciente na política das cidades do interior do Brasil

A realização das Eleições 2024 para o cargo de prefeito e de vereador nos municípios brasileiros se aproxima, e, com ela, aumenta a expectativa de mudanças no cenário político do Brasil.

Muitos eleitores, entretanto, não acreditam ser possível mudar a história do país e insistem na ideia de que a corrupção é inerente à política brasileira.

Todavia, as eleições municipais do ano que vem, determinarão o futuro de cada cidade para os próximos quatro anos, motivo pelo qual é fundamental que cada eleitor faça a sua opção de modo consciente e com seriedade.

Nesse contexto, é necessário entender que a República Federativa do Brasil constitui-se em Estado democrático de direito no qual “todo poder emana do povo, que o exerce por meio de representantes eleitos ou diretamente” (art. 1º, parágrafo único, da Constituição Federal de 1988).

Assim, o sentido da democracia está na possibilidade de o cidadão exercer a soberania popular, que se concretiza pelo sufrágio universal e pelo voto direto e secreto1 na escolha dos governantes. Daí, o eleitor tem em suas mãos um importante instrumento de mudança política e social: o voto.

O Brasil é um país reconhecido pela sua ampla representatividade democrática. No entanto, nem sempre foi assim. Houve momentos em nossa história de grandes restrições ao direito de participação popular no processo de escolha dos governantes: as mulheres não tinham direito de votar; o voto era definido pela renda (voto censitário – direito apenas dos ricos) e, ainda, controlado por coronéis (voto de cabresto).

Desse modo, no atual contexto político e social do Brasil, os dias destinados à realização das eleições representam um dos raros momentos em que todos se igualam, pois não há diferença de raça, sexo, condição financeira, classe ou grupo social, já que existe igualdade de valor no voto dado por cada cidadão.

Diante da liberdade e da igualdade no exercício da soberania popular, é fundamental que o voto seja consciente, pois esse é um fator preponderante para que se alcance um resultado satisfatório no pleito.

Mas como alcançar essa consciência?
Conhecer o funcionamento do processo eleitoral brasileiro, entender o sistema por meio do qual os candidatos são eleitos, perceber o que é legítimo e aquilo que ofende a moralidade da disputa eleitoral contribui para a conscientização do eleitor na escolha de seus representantes.

É importante que o eleitor procure se informar a respeito das ideias do seu candidato, seu passado e como atuou em oportunidades passadas.

O eleitor deve estar atento à atuação de cada candidato. Aqueles que possam tentar comprar votos ou oferecer alguma vantagem em troca de apoio político certamente continuarão a promover a corrupção se forem eleitos.

Precisamos entender, contudo, que nem todo político é igual ou corrupto. Existem candidatos interessados em promover uma mudança social e política, por isso devemos buscar conhecer as propostas do candidato e do seu partido, assim como o seu passado.

Renata Livia Arruda de Bessa Dias*

Compras milionárias no governo de Luciana Trinta voltam a chamar atenção da população

Na mesma cidade, onde comumente falta tudo, desde o básico para simples procedimentos no único hospital do município, até remédios de uso contínuo, comprados com repasses garantidos pelas esferas de governo estadual e federal, novamente os munícipes são surpreendidos com mais uma licitação milionária.

A adesão a Ata de Registro de Preço 0013/2023, no valor de R$ 7.165.140,00 (SETE MILHÕES, CENTO E SESSENTA E CINCO MIL, CENTO E QUARENTA REAIS) para aquisição de carteiras escolares e outros itens de mobília escolar, foi publicada no portal da transparência e assinada pela secretária de educação.

Chama a atenção, o valor superior, até três vezes, ao quantitativo suficiente para equipar todas as escolas do município, com carteiras novas e de alto padrão, considerando o número de estudantes matriculados em todas as unidades escolares do município.

A secretaria de educação, é alvo de inúmeros reclamações por parte da sociedade, por deixar faltar, em comunidades inteiras, transporte escolar e merenda por semanas e até meses. Sempre com alegações que faltam recursos.

Juiz maranhense recomenda uso da linguagem simples à equipe do gabinete


O juiz Raimundo Nonato Neris Ferreira (titular da 9ª Vara da Fazenda Pública de São Luís), exercendo o cargo de desembargador substituto, reuniu seus assessores jurídicos para tratar da organização dos trabalhos no atendimento à demanda em seu gabinete no Tribunal de Justiça do Maranhão e recomendou o uso da Linguagem Simples na redação de atos pela equipe.

Além de discutir sobre a rotina de gestão dos processos, o juiz recomendou aos assessores utilizarem a Linguagem Simples na redação dos votos, decisões e despachos do gabinete, de acordo com a Recomendação nº 144/2023, do Conselho Nacional de Justiça, que orientou os tribunais a utilizarem a linguagem simples em atos judiciais e administrativos.

“Incentivamos o uso de uma linguagem simples e acessível para todas aquelas pessoas para quem a decisão se destina. Não só para advogados, mas também às partes, na maioria pessoas sem conhecimento jurídico, que possam compreender, de forma clara e objetiva, o resultado de um julgamento e os termos usados. Essa proposta foi imediatamente aceita por todos e tentaremos, daqui para frente, usá-la em todas as decisões e atos judiciais do gabinete”, declarou o juiz.

RECOMENDAÇÃO DO CONSELHO NACIONAL DE JUSTIÇA
Na Recomendação que disciplina o uso da Linguagem Simples no Judiciário nacional, o Conselho Nacional de Justiça considera a linguagem como meio para a redução das desigualdades (ODS 10, da Agenda 2030 da ONU) e para a promoção da transparência, da participação, do controle social e do acesso aos serviços públicos;

A convite do juiz, a analista judiciária Helena Barbosa (Assessoria de Comunicação da Corregedoria Geral da Justiça) falou à equipe sobre o Projeto “Simplificar é Legal”, de iniciativa da Corregedoria do Judiciário maranhense, que foi implantado em 22 de setembro deste ano, com o objetivo de tornar a comunicação da Justiça mais clara e acessível ao cidadão, com o uso da Linguagem Simples e do Direito Visual.

A servidora, idealizadora do projeto, destacou que a adoção dessa política se deu por meio da assinatura da Portaria-Conjunta nº 42/2023, pelo presidente do Tribunal de Justiça e pelo corregedor-geral, com o objetivo de regulamentar e levar para a prática o uso dessas técnicas nos atos produzidos pelas unidades judiciais. Também informou que uma página do projeto foi criada no Portal do Poder Judiciário, com informações sobre a legislação e exemplos de peças já simplificadas, para consulta pelo público em geral.

A assessora Andressa Fontinele trabalha há onze anos com o juiz Neris e disse ser de costume dele usar a linguagem acessível, sem ser empobrecida. “Com o surgimento dessa recomendação do uso de linguagem simples ele reforçou na equipe essa prática. Particularmente, considero importantíssimo que as decisões judiciais sejam de compreensão não apenas aos juristas, mas às partes diretamente interessadas”, disse a servidora.

Santa Quitéria e São Bernardo na lista: TCE-MA conclui fiscalização presencial sobre recursos do EJA

Passa das oito da noite na recém-reformada UEB Antonio Monteiro, em Santa Quitéria, município de pouco mais de 23 mil habitantes localizado no semiárido maranhense, a 350 km da capital e vizinho ao estado do Piauí. Os estudantes do EJAI (Ensino de Jovens, Adultos e Idosos) terão que aguardar um pouco o início da palestra sobre câncer de próstata a cargo do jovem enfermeiro que acaba de chegar. As atenções estão voltadas para presença das duas auditoras do Tribunal de Contas do Estado (TCE-MA).

Enquanto Natividade Pinheiro de Farias conversa com a coordenação da escola em um exaustivo check-list, a colega Mônica Valéria de Farias (não há parentesco entre elas) percorre as salas, numa escuta que envolve professores e estudantes. Ninguém parece surpreso com a presença da fiscalização, o que se explica por sua permanência na cidade, que já entra no terceiro dia. É a penúltima escola a ser visitada naquela noite, enquanto o período da tarde foi reservado a entrevistas com idosos no distante povoado de Roça Velha. A equipe se retira, deixando os alunos reunidos em círculo no pátio da escola, onde o calor é menos intenso . Hora da roda de conversa.
Naquele mesmo dia, a mesma rotina está se repetindo em mais nove municípios maranhenses, inclusive no vizinho São Bernardo, distante apenas meia hora de carro de Santa Quitéria pela MA-034. Além desses dois, a fiscalização presencial promovida pelo órgão atingiu os municípios de Serrano do Maranhão, Bacuri, Igarapé do Meio, Maranhãozinho, Satubinha, Santa Quitéria do Maranhão, Pio XII, Altamira do Maranhão e Zé Doca). A presença das equipes nessas cidades decorre de fiscalização realizada em outubro passado com a finalidade de avaliar a oferta de Educação de Jovens e Adultos (EJA) pelos municípios maranhenses. Na ocasião, foram solicitados dados referentes aos números do EJA às secretarias municipais de Educação por meio do preenchimento de questionários eletrônicos.

Agora, com a presença das equipes nos municípios escolhidos, o Tribunal promove a validação dos dados fornecidos nos questionários eletrônicos, comparando as informações prestadas com o que efetivamente está sendo ofertado ao público dessa modalidade de ensino. Também foram consideradas nessa checagem as informações prestadas por ocasião do censo educacional de 2022. Com duração de uma semana, a tarefa envolveu um total de 40 servidores, entre técnicos e auditores, distribuídos entre o trabalho de campo e a coleta e gerenciamento de informações na sede do Tribunal.

A presença do próprio Secretário de Fiscalização do TCE como integrante das equipes, algo incomum, se justifica pela gravidade atribuída pelo órgão aos dados revelados pelo primeiro levantamento, que não isenta nenhuma região de um estado com quase 220 municípios.

Os dez escolhidos nessa fase foram aqueles que apresentaram as maiores distorções dentro de um cenário de aplicação desse programa educacional. “Trata-se de dados discrepantes em relação à realidade tanto estadual quanto nacional”, explica o secretário de Fiscalização, Fábio Alex de Melo. Como exemplo, ele cita a relação entre a população do município e o número de matriculados no EJA. Enquanto a média nacional é de, no máximo, 5% da população adulta matriculada no EJA, alguns desses municípios apresentam uma média de 25% da população inscrita nessa modalidade de ensino, uma distorção que só encontra paralelo no estado de Alagoas.
De acordo com o secretário, essa fase de validação das informações pode se desdobrar em vários outros procedimentos, incluindo representações, auditorias e tomadas de contas. “Nesse momento, o Tribunal está apurando se as informações são fidedignas. É uma etapa inicial por meio da qual será possível identificar o que é erro, distorção ou informação falsa prestada de forma intencional”, lembra.

Uma possibilidade já colocada pelo Tribunal e reforçada pelos achados da fiscalização presencial, que deverão ser apresentados em coletiva de imprensa após a finalização do relatório, é de que o procedimento seja estendido a outros municípios. É unanimidade entre os envolvidos no trabalho de campo a visão de que o problema tem dimensões muito maiores do que o estimado na fase de planejamento. “Embora não nos caiba nesse momento fazer juízo de valor, afirmando ou não a existência de fraude, está clara a necessidade de aprofundamento do trabalho realizado pelo Tribunal dento de sua esfera de competência”, observa Natividade Farias.

Ela acredita que, em se tratando de recursos do Fundeb, que envolvem a fiscalização por parte das três esferas de governo, federal, estadual e municipal, é fundamental que o governo federal também entre firme na fiscalização, examinando desdobramentos que somente quem libera os recursos do EJA pode fiscalizar. Na esfera do TCE, ambas as auditoras defendem que, para que o trabalho realizado pelas equipes possa ser ainda melhor aproveitado, seus achados devam se refletir na apreciação das contas. “Trata-se de um trabalho que avalia a qualidade das informações que esses gestores estão disponibilizando e impacta na forma como esses recursos foram utilizados. Então é de esperar que seja levado em conta na hora de apreciar as contas dos gestores”, defendem.

Fonte: Jonh Cutrim

FR Telecom é homenageada em baile da solenidade 2023

Empresa genuinamente araiosense, fundada pelos sócios Fernando Silva e Rodrigo, atua no mercada de internet a mais dez anos e se destaca pelos seus produtos e serviços de qualidade, fornecidos ao mercado digital na região.

A FR Telecom é uma das empresas pioneira no fornecimento de internet e a democratizar o acesso em áreas mais remotas do município, por meio do acesso via rádio e atualmente fibra óptica, tecnologia de ponta usada pelo mercado de transmissão.

Com anos de acúmulo de experiência e expertise, a FR Telecom, desde a sua fundação, tem sido líder na criação e desenvolvimento de soluções inovadoras para a era digital. Tendo por missão o fornecimento de serviços e produtos de alta qualidade, com o objetivo de impulsionar o crescimento e o sucesso dos seus clientes.

Com uma equipe qualificada e sempre se atualizando, FR Telecom, está cada vez mais preparada para enfrentar os desafios do mundo virtual e continuar transformando ideias em realidade.

O evento aconteceu no último sábado, dia 11 de novembro, no Park da Cidade. Na ocasião, outras empresas também foram homenageadas, a solenidade contou com várias apresentações musicais que entraram madrugada adentro.

quinta-feira, 9 de novembro de 2023

PF faz operação contra fraudes em licitações nas verbas do Fundeb no Maranhão

Operação W.O investiga conluio de servidores e empresários em benefício de uma empresa vencedora de duas licitações.
A Polícia Federal deflagrou, na manhã desta quinta-feira (09/11) a Operação W.O., com o objetivo de apurar possíveis crimes de fraude em licitações para contratação de empresa para fornecimento de materiais de informática e de limpeza no município de Timbiras/MA, envolvendo recursos federais do FUNDEB e do FNS.

A investigação iniciou-se a partir de representação formulada pelo Ministério Público de Contas do Estado do Maranhão, que indicou uma série de inconsistências em dois pregões presenciais realizados pelo referido município no ano de 2020.

No curso das apurações, ficou evidenciado o conluio entre empresários e servidores municipais a fim de promover o direcionamento dos dois certames para uma predeterminada empresa, sendo constatados indícios de várias irregularidades nos procedimentos licitatórios, tais como a apresentação de documentação extemporânea, a ausência de documentos obrigatórios, falsificação de assinaturas e a simulação de cotação de preços. Cite-se, ainda, que uma das sessões públicas teria sido realizada em 12 de outubro (feriado nacional).

Ademais, as licitações geraram duas Atas de Registro de Preços que foram aderidas, no ano de 2021, pelos municípios de Presidente Dutra/MA, São Vicente de Ferrer/MA, Morros/MA, Coelho Neto/MA, Pedro do Rosário/MA e Matões do Norte, o que elevou o potencial prejuízo ao erário.

Na ação de hoje, 22 policiais federais cumprem, na região metropolitana de São Luís/MA, 6 mandados de busca e apreensão expedidos pela 1ª Vara Criminal Federal da Seção Judiciária do Maranhão.

A Justiça Federal também determinou o sequestro e bloqueio de bens e valores até o limite de R$ 10.006.760,31, a suspensão do exercício de função pública de um servidor municipal de Timbiras/MA e a suspensão do direito de participar em licitações e contratar com órgãos públicos ao empresário investigado e sua empresa.

Apuram-se, no caso, as possíveis práticas dos seguintes crimes: fraude ao caráter competitivo de licitação, fraude em licitação ou contrato, peculato, lavagem de capitais e associação criminosa.

O nome da operação faz alusão ao fato de que, estranhamente, a empresa investigada foi a única a participar das licitações, beneficiando-se, assim, de vultosos contratos.

As investigações prosseguem com a análise do material apreendido na presente data.

IVOX PODCAST recebe hoje, Luís Mário, cineasta, ator e ex-assessor especial de cultura de Araioses

Todas as quintas-feiras, sempre um papo inteligente e descontraído com personalidades de diferentes áreas e segmentos da região.
No episódio desta quinta-feira, 9 de novembro, receberemos Luís Mário, cineasta, ator e ex-assessor especial de cultura de Araioses

Será uma excelente oportunidade para conhecermos um pouco da história do nosso convidado, sua trajetória e experiência na sétima arte.

No IVOX PODCAST, você pode fazer perguntas por meio do chat ao vivo e ainda participa de sorteios todas as quintas.

Não perca, será às 20 horas ao vivo pelo YouTube, no canal IVOX PODCAST, neste link: https://www.youtube.com/watch?v=UtNR9ZesadI

segunda-feira, 6 de novembro de 2023

Maranhão deve receber R$ 93,9 bilhões em obras do Novo PAC

O Maranhão deve receber R$ 93,9 bilhões em obras do Novo Programa de Aceleração do Crescimento (PAC). Nesta segunda-feira (6), em São Luís, durante cerimônia de lançamento do programa no estado, o ministro-chefe da Casa Civil, Rui Costa, disse que os recursos serão aplicados principalmente em obras de infraestrutura, moradia, educação, saneamento e saúde.

“É um conjunto de investimentos que vai beneficiar a população, vai gerar emprego para realizar as obras, mas também depois das obras. Então, há um efeito dinâmico na economia muito forte, além do benefício social, com equipamentos importantes como na área da saúde, que vai preencher vazios assistenciais e garantir mais benefícios para as cidades”, afirmou o ministro.

O governo federal prevê investimentos de R$ 59 bilhões para a realização de obras e projetos no Maranhão, com mais de 24 mil unidades habitacionais do Minha Casa, Minha Vida. Também serão aplicados recursos de R$ 18 bilhões para a transmissão de energia, com a implantação de 1.512 quilômetros de linhas de transmissão (Presidente Dutra e Graça Aranha, no Maranhão, e Silvânia, em Goiás). Serão aplicados R$ 153 milhões no programa Luz para Todos e em 1.018 obras de educação e da saúde distribuídas por todo o estado.

“Estamos fazendo três grandes linhões [de transmissão de energia] para ligar o Norte e o Nordeste ao Sudeste do Brasil que, somados, representam um investimento de R$ 50 bilhões e são capazes de, sozinhos, de atrair mais de R$ 150 bilhões de investimentos em usinas de energia eólica e solar e projetos hídricos, que passam a ter viabilidade econômica com a chegada das linhas de transmissão. É por isso que a infraestrutura ajuda a desenvolver, traz emprego e renda”, informou Costa.

Também está prevista a duplicação da BR-010, rodovia que liga Imperatriz a Açailândia, no sul do estado, e 11 obras de recuperação de patrimônio histórico em São Luís. Na área de telecomunicação, está prevista a construção de 201 torres de telefonia 4G.

“Isso mostra a força da retomada em prioridade de infraestrutura no país. Uma estrada ruim significa transtorno para população, insegurança no transporte e encarece o preço que as pessoas vão pagar pelas mercadorias. Isso enfraquece o país”, acrescentou o ministro. Ele disse ainda não haver divergência entre “fazer o país crescer, investir e ter o equilíbrio fiscal. É disso que o Brasil precisa: crescer com responsabilidade, gerando emprego e renda para a população”.

Durante o lançamento do Novo PAC, o ministro de Portos e Aeroportos, Silvio Costa Filho, anunciou a antecipação da concessão do Porto do Itaqui para o mês de dezembro, com o objetivo de atrair mais investimentos e gerar mais emprego e renda no estado. O atual contrato de concessão do terminal venceria em 2026 e, com o anúncio, haverá a renovação, por mais 25 anos, da concessão do porto, administrado pela Empresa Maranhense de Administração Portuária.

Foi autorizada também a obra do aeroporto de Barreirinhas, que é muito importante para requalificar o aeroporto, dada sua importância para a economia local, para o turismo e para os negócios, disse Silvio Costa Filho.

John Cutrim

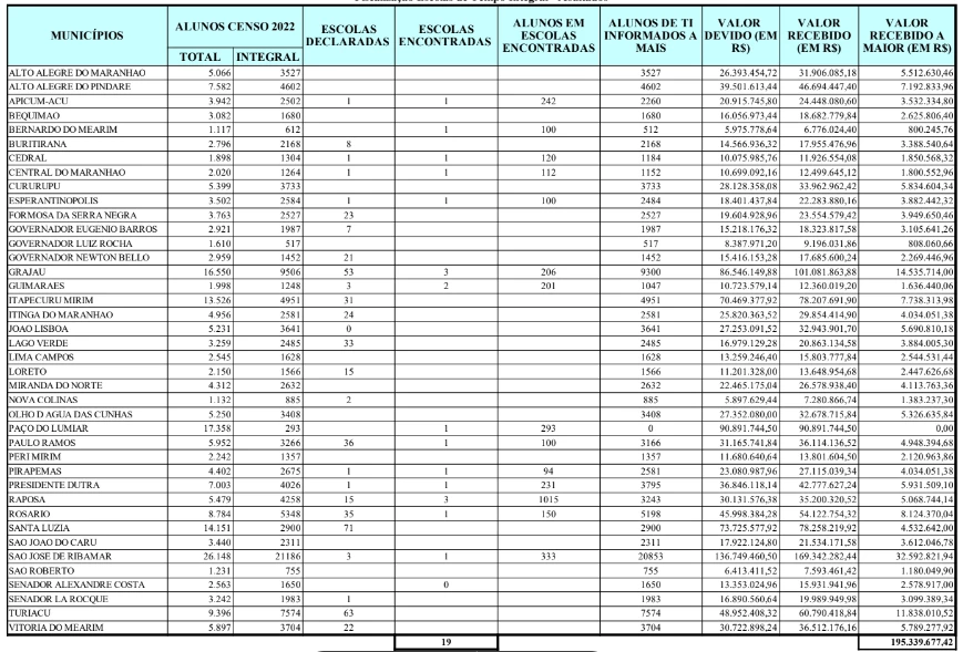
Seria o caso de Araioses? Prefeituras podem ter recebido R$ 195 milhões com fraude, ao inflar número de alunos

A fiscalização do Tribunal de Contas do Estado do Maranhão, se refere às escolas em tempo integral, modalidade ainda não oferecida em Araioses, pelo menos no campo da realidade e dos fatos. Mas, o “modus operandi” dos municípios denunciados, se assemelha, em muito, às suspeitas levantadas pela câmara de vereadores de Araioses, na tentativa de entender: como o município encolheu em número de cidadãos, segundo o último levantamento do IBGE, e a quantidade de matrículas escolares quase que dobrou em 2023?

A corte fiscalizou 182 dos 217 municípios maranhenses, Araioses não apareceu na lista.
Os auditores do TCE maranhense visitaram 156 escolas de educação básica em 40 municípios com o objetivo de identificar e avaliar a infraestrutura das escolas de tempo integral nos municípios que declararam possuir parte da sua população estudantil nesta categoria de ensino. O resultado do levantamento mostra que prefeituras maranhenses podem ter recebido R$ 195 milhões além do devido, em razão dos números inflados de matrículas em tempo integral, prestados no Censo de 2022.

O cruzamento das informações relativas ao número de matrículas em tempo integral prestadas quando da aplicação do check list, com as informações fornecidas pelos municípios no Censo Escolar 2022 e com as receitas do FUNDEB repassadas no mesmo exercício, apontou que o número de alunos matriculados em tempo integral informado no Censo Escolar 2022 é superior à quantidade apurada no levantamento in loco.

De acordo com o levantamento do TCE, São José de Ribamar foi a que recebeu o maior valor. A prefeitura informou ter 20.853 alunos de tempo integral a mais do que o efetivamente encontrado de acordo com o relatório de fiscalização. A gestão do prefeito Dr. Julinho recebeu R$ 169,3 milhões em um ano, quando na realidade deveria ter recebido R$ 136,7 milhões (um ganho de R$ 32,5 milhões).

Em Grajaú, o município recebeu R$ 101 milhões, R$ 14,5 milhões a mais que os R$ 86,5 milhões que realmente deveria ter caído na conta da Prefeitura.

O levantamento do TCE aponta que Rosário deveria ter recebido R$ 45.998.384,28 pelos alunos registrados no município, no entanto recebeu R$ 54.122.754,32, uma diferença a mais de R$ 8.124.370,04 pelos alunos que não existem na cidade administrada pelo prefeito Calvet Filho que informou ter 5.348 alunos matriculados em regime de tempo integral.

Em Alto Alegre do Maranhão, a administração da prefeita Nilsilene Liorne deveria ter recebido R$ 26.393.454,72 do Fundeb, entretanto abocanhou R$ 31.906.085,18, uma diferença a mais de R$ 5.512.630,46 pelos 3.527 alunos falsos inseridos como alunos de escola integral.

Em Raposa, foram informados 3.243 alunos a mais, que resultou em repasses significativamente superiores ao devido. O valor que a gestão do prefeito Eudes Barros deveria ter recebido era de R$ 30,1 milhões, porém, o repasse da Educação foi de R$ 35,2 milhões, um acréscimo, portanto, de R$ 5 milhões de forma indevida, quando se considera o número real de alunos que estudam em tempo integral.

Já em Turiaçu a prefeitura, comandada por Edésio Cavalcanti, deveria receber R$ 48.952.408,32 milhões do Fundeb, mas ficou com R$ 60.790.418,84 milhões, dando uma diferença de R$ 11.838.010,52 milhões após a gestão declarar mais de 7 mil alunos “fantasmas” em ensino de tempo integral.

De acordo com o art. 43, § 1, inciso I, letras c e i da Lei 14.113/20, a lei do Fundeb, o município recebe um incremento de 30% sobre o valor por aluno, matriculado em tempo integral. Os dados sobre número de alunos considerados nos procedimentos de distribuição dos recursos por intermédio do Fundeb são originários do Censo Escolar (2022) realizado pelo Instituto Nacional de Estudos e Pesquisas Educacionais (Inep/MEC). Esses dados são utilizados para cálculo dos coeficientes de distribuição dos recursos por meio do Fundeb para o ano seguinte.

O relatório emitido pelo TCE apresenta as seguintes conclusões em relação ao levantamento realizado nas escolas municipais de tempo integral: das escolas informadas como de tempo integral, uma minoria de fato oferece essa modalidade de ensino aos alunos; a infraestrutura física da maioria das escolas visitadas não tem as condições necessárias para receber alunos em tempo integral; a quantidade de matrículas informadas no Censo escolar 2022 como sendo de tempo integral é muito superior à realidade, uma vez que, em alguns municípios que informaram possuir alunos em tempo integral, não existe nenhuma escola com essa modalidade de ensino.

Com fundamento nos resultados da fiscalização, a equipe técnica propõe ao Tribunal de Contas do Estado do Maranhão sugeriu que sejam abertas representações contra os municípios visitados na fiscalização que apresentaram irregularidades.

Com informações: Imirante e John Cutrim
Related Posts Plugin for WordPress, Blogger...